Discussions
Select Date
Tags:
BASIREDDY TEJENDRAREDDY

· started a discussion

· 1 Months ago

option A should be the answer

secant is negative in the second quadrant.
so , -sec should be the correct answer

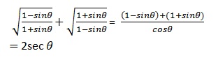
Question:
If θ lies in the second quadrant, then \(\sqrt{\cfrac{1-sin\theta}{1+sin\theta}}+\sqrt{\cfrac{1+sin\theta}{1-sin\theta}}\)    is equal to:
Options:
A) - 2sec θ
B) 2 sec θ
C) 2cosec θ
D) 2 tan θ
Solution:

All Rights Reserved Top Rankers