Discussions
Select Date
Tags:
Gambhir Chauhan

· started a discussion

· 1 Months ago

Plz provide solution

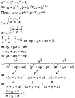
Question:

  

Options:
A)

3

B)

1

C)

0

D)

x + y + z

Solution:

Ans:(b)


All Rights Reserved Top Rankers