Discussions
Select Date
Tags:
aditya aryan

· started a discussion

· 1 Months ago

instead of 44 there should be 42

Question:
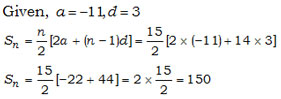
Find the sum of the 15 terms of the following series : –11, –8, –5, ……
Options:
A) 125
B) –125
C) –150
D) 150
Solution:
Ans: (d)


All Rights Reserved Top Rankers