Discussions
Select Date
Tags:
Ashish

· started a discussion

· 1 Months ago

wrong statement

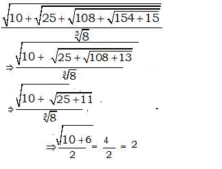
Question:

  

Options:
A)

4

B)

12    

C)

2

D)

8

Solution:

Ans: (d)


All Rights Reserved Top Rankers