Discussions
Select Date
Tags:
ankit Chaudhary

· started a discussion

· 1 Months ago

look here it again...I corrected it by myself...

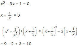
Question:
If x2 – 3x + 1 = 0, then the value of x2 + x + \(\cfrac{1}{2}+\cfrac{1}{x^2}\)  is:
Options:
A) 10
B) 2
C) 6
D) 8
Solution:
Ans: (A)


All Rights Reserved Top Rankers