Discussions
Select Date
Tags:
ankit Chaudhary

· started a discussion

· 1 Months ago

question wrong..please correct it?

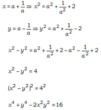
Question:
If \(x=a+\cfrac{1}{a}\) and \(y=a-\cfrac{1}{a}\), then the value of x4 + y4 - 2x2 y2 is –
Options:
A) 24
B) 18
C) 16
D) 12
Solution:

Knowledge Expert

· commented

· 1 Months ago

We fixed the issue............

All Rights Reserved Top Rankers