Discussions
Select Date
Tags:
ankit Chaudhary

· started a discussion

· 1 Months ago

please improve your service..lots of wrong question

Question:
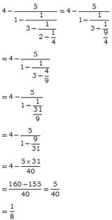
What is the value of \(4-\cfrac{5}{\cfrac{1}{1+\cfrac{1}{3+\cfrac{1}{2+\cfrac{1}{4}}}}}\)   ?
Options:
A) \(\cfrac{1}{8}\)
B) \(\cfrac{1}{64}\)
C) \(\cfrac{1}{32}\)
D) \(\cfrac{1}{16}\)
Solution:

Ans: (A) 


All Rights Reserved Top Rankers