Discussions
Select Date
Tags:
Prachisourav Mohapatra

· started a discussion

· 1 Months ago

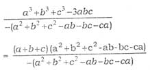
3abc is not given in the question

Knowledge Expert

· commented

· 1 Months ago

Dear student
We resolved it

Best wishes
Team TR
skm

· started a discussion

· 1 Months ago

you haven't written 3abc

Question:
If a = -5, b = -6, c = 10, then the value of  \(\cfrac{a^3+b^3+c^3-3abc}{(ab+bc+ca-a^2-b^2-c^2)}\)       :
Options:
A) -1 
B) 1
C) 18
D) 21
Solution:

  

= -(a + b + c)

= -(-5 -6 + 10)

= -(-1) = 1

All Rights Reserved Top Rankers