Discussions
Select Date
Tags:
abhijeet

· started a discussion

· 1 Months ago

question is wrong

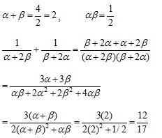
Question:

If \(\alpha \ \beta\), are the roots of the quadratic equation 2x2 - 4x + 1 = 0. Then the value of \(\cfrac{1}{\alpha+2\beta}+\cfrac{1}{\beta+2\alpha}\) is equal to :


Options:
A) \(\cfrac{12}{17}\)
B) \(\cfrac{17}{12}\)
C) \(\cfrac{11}{17}\)
D) \(\cfrac{13}{17}\)
Solution:
Ans:(a)

All Rights Reserved Top Rankers