Discussions
Select Date
Tags:
rahul

· started a discussion

· 1 Months ago

wrong question and ans.

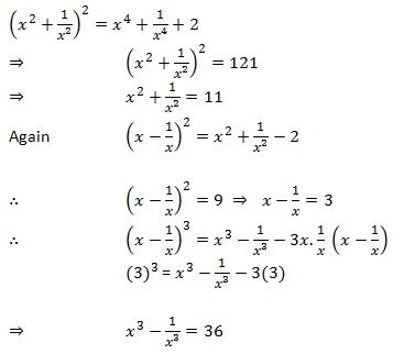
Question:
If \(\left (x^4 +\cfrac {1}{x^4} \right )\)=119,  then  value of \(\left ( x^3-\cfrac {1}{x^3} \right )\)  is :
Options:
A) 49
B) 27
C) 36
D) 63
Solution:

Knowledge Expert

· commented

· 1 Months ago

Dear student,
We have update the solution .Please check now, keep learning with us.

Regards
Team TR

All Rights Reserved Top Rankers