Discussions
Select Date
Tags:
neha bairagie

· started a discussion

· 1 Months ago

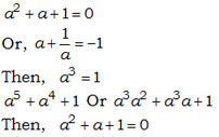
The answer should be 3. Because a=1. In your solution, you solved it wrong in the second last line.

Question:
If a2 + a + 1 = 0 then, find the value of a5 + a4 + 1.
Options:
A) 3
B) 5
C) 0
D) 2
Solution:

Ans: (c)


All Rights Reserved Top Rankers