Discussions
Select Date
Tags:
nitin moghia

· started a discussion

· 1 Months ago

WRONG
ANS 1500

Question:
Vikramborrowed \(\unicode{x20B9} \)6, 450 at 5 percent simple interest repayable in 4 equal installments. What will be the annual installment payable by him?
Options:
A) \(\unicode{x20B9} \)1710
B) \(\unicode{x20B9} \)1810
C) \(\unicode{x20B9} \)1910
D) \(\unicode{x20B9} \)1860
Solution:
Ans: (b) Let the annual installment be \(\unicode{x20B9} \)x

Amount of \(\unicode{x20B9} \)100 after 4 years

\(=\unicode{x20B9}\left (100+ \cfrac{100\times5\times4}{100} \right )=\unicode{x20B9}120 \)

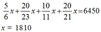
Present vlaue (PV) of \(\unicode{x20B9} \)120 due after 4 years = \(\unicode{x20B9} \)100 Present vlaue of \(\unicode{x20B9} \)x due to after 4 years \(=\cfrac{100}{120}x=\cfrac{5}{6}x\)

Similarly PV of \(\unicode{x20B9} \)x due after 3 years \(=\cfrac{20}{23}x\)

PV of \(\unicode{x20B9} \)x due after 2 years \(=\cfrac{10}{11}x\)

PV of \(\unicode{x20B9} \)x due after 1 years \(=\cfrac{20}{21}x\)


All Rights Reserved Top Rankers