Online Courses
Explore
Offline Courses
-
LAW
-
Judiciary
-
Management UG
-
CAT & OMETs
-
CUET
-
Design
-
Architecture
-
UPSC Law Optional
Explore
Test Series
Explore
Resources
-
LAW UG (5 Year LLB)
-
LAW UG (3 Year LLB)
-
LLM + LAW Officer
-
Judiciary
-
Management UG
-
Management PG
-
Design & Arch.
-
NTA CUET [UG]
-
Career Counselling
-
Current Affairs
-
UPSC LAW
Explore
Join Us
Explore
Contact Us
Explore









Knowledge Expert
· commented
· 1 Months ago
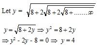
In this type of questions , when root starts reappearing , we can can assign it as a variable and that same variable is given to the question.
Here we have assigned Y.
After that we can solve it as given in the solution.
Thanks and Regards
Team TR