Discussions
Select Date
Tags:
ankur

· started a discussion

· 1 Months ago

in option 4 its y not 3y

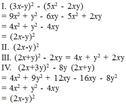
Question:
Which of the following expression are exactly equal in value?


I. (3x-y)2 - (5x2-2xy)

II. (2x-y)2

III. (2x+y)2- 2xy

IV. (2x+3y)2 -8y (2x+y)

Options:
A)

I and II only

B) I, II and III only
C) II and IV only
D) I, II and IV only
Solution:
Ans: (d) 

All Rights Reserved Top Rankers