Discussions
Select Date
Tags:
Vyomdeep

· started a discussion

· 1 Months ago

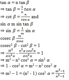
The numerator of option C should be (m^2 - 1)
I wasted my precious time for this silly error.

Question:
If tan α = n tan β and sin α = m sin β then cos2 α is:
Options:
A) \(\cfrac{m^2}{n^2+1}\)
B) \(\cfrac{m^2}{n^2}\)
C) \(\cfrac{m^2-2}{n^2-1}\)
D) \(\cfrac{m^2+1}{n^2+1}\)
Solution:

Ans: (c) 


All Rights Reserved Top Rankers