Discussions
Select Date
Tags:
DILIP G KURIL

· started a discussion

· 1 Months ago

right option should be 2.5

Question:
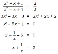
\(\cfrac{x^2 - x + 1}{x^2 + x + 1} = \cfrac{2}{3}\) ,then find the value of \(\left (x + \cfrac {1}{x} \right )\).
Options:
A) 4
B) 5
C) 6
D) 8
Solution:
Ans: (b)


All Rights Reserved Top Rankers