Discussions
Select Date
Tags:
adwait mishra

· started a discussion

· 1 Months ago

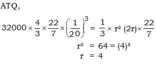
height to 2r hogi na

Question:

Assume that a drop of water is spherical and its diameter is one-tenth of 1 cm. A conical glass has a height equal to the diameter of its rim. If 32,000 drops of water fill the glass completely. Then the height of the glass (in cm) is

Options:
A)

1

B)

2

C)

3

D)

4

Solution:

Ans: (d)

  

All Rights Reserved Top Rankers