Discussions
Select Date
Tags:
Dinesh Reddy

· started a discussion

· 1 Months ago

wrong explanation check the answer

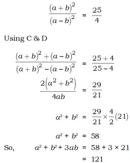
Question:
If ab = 21 and \(\cfrac{(a + b)^2}{(a-b)^2} \ = \cfrac{25}{4}\) then the value of a2 + b2 + 3ab is –
Options:
A) 115
B) 121
C) 125
D) 127
Solution:
Ans: (b)


All Rights Reserved Top Rankers