Discussions
Select Date
Tags:
Saikat Rakshit

· started a discussion

· 1 Months ago

answer should be option 'C'

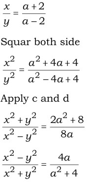
Question:

If  xy=a+2a-2   , then the value of   x2-y2x2+y2    is –

Options:
A)

2aa2+4    

B)

2aa2+2    

C)

4aa2+4    

D)

2aa2-4    

Solution:

Ans: (a)


All Rights Reserved Top Rankers