Discussions
Select Date
Tags:
AMAN KUMAR

· started a discussion

· 1 Months ago

bbbbbbbbbbbbbbbbbbbbbbbbbbbbb

Question:
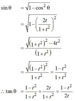
If cos \(\theta\) = \(\cfrac{2t}{1+t^2}\)  find the value of tan \(\theta\).
Options:
A) \(\cfrac{1+t^2}{2t}\)
B) \(\cfrac{2t-1}{t^2}\)
C) \(\cfrac{1-t^2}{2t}\)
D) \(\cfrac{1-2t}{t^2}\)
Solution:

All Rights Reserved Top Rankers