Discussions
Select Date
Tags:
SATYAJIT KUNDU

· started a discussion

· 1 Months ago

Answer would be (b) 2

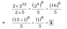
Question:
When 233 is divided by 10, then the remainder is -
Options:
A) 0
B) 2
C) 1
D) 3
Solution:
Ans: (c)


All Rights Reserved Top Rankers