Discussions
Select Date
Tags:
G M

· started a discussion

· 1 Months ago

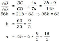
AB= 4a ( Hypotenuse)
AD= 7a ( Base or Perpendicular)
It can't be possible DUDE.!!!

Question:
In the ABC, BD bisects \(\angle \)B and is perpendicular to AC. If the lengths of the sides of the triangle are expressed in the terms of a and b, find the value of a and b.


Options:
A) \(\cfrac{18}{5}, \cfrac{9}{5}\)
B) \(\cfrac{5}{18}, \cfrac{5}{9}\)
C) \(\cfrac{5}{18}, \cfrac{34}{57}\)
D) \(\cfrac{27}{41}, \cfrac{62}{47}\)
Solution:
Ans: (a)

  

All Rights Reserved Top Rankers