Discussions
Select Date
Tags:
Sandy Gupta

· started a discussion

· 1 Months ago

???????????????

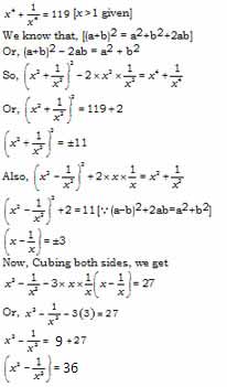
Question:

If x4 +  1x4    =119, and x > 1 then the value of x3 –  1x3    is– 

Options:
A)

54

B)

18

C)

72

D)

36

Solution:

Ans: (d) 


Knowledge Expert

· commented

· 1 Months ago

Dear Student,
We have fixed it.

Thanks and Regards
Team TR

All Rights Reserved Top Rankers