Discussions
Select Date
Tags:
satya yadav

· started a discussion

· 1 Months ago

solution please

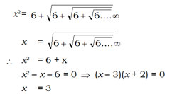
Question:
If x2 = 6 + \(\sqrt{6+ \sqrt{6 + \sqrt{6}} . . .. . . . . . \infty}\) ,     then what is the value of x ?
Options:
A) 6
B) 5
C) 9
D) 3
Solution:
Ans: (d)


All Rights Reserved Top Rankers