Discussions
Select Date
Tags:
vivek

· started a discussion

· 1 Months ago

not sin 2theta must be sin^2 thetha

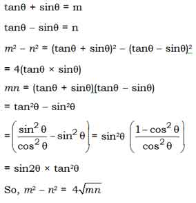
Question:
If tan + sin = m and tan – sin = n, then the value of m2 – n2 is –
Options:
A) \(4\sqrt[]{mn}\)
B) \(\sqrt[]{mn}\)
C) \(2\sqrt[]{mn}\)
D) \(\cfrac{1}{mn}\)
Solution:
Ans: (a) 


All Rights Reserved Top Rankers