Discussions
Select Date
Tags:
kavinilavu

· started a discussion

· 1 Months ago

power of 81 is (x-y) but what's in the question is power of 81 is (x-1)

Question:
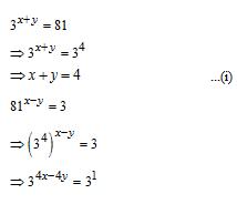
If \(3^{x+y}=81\) and \(81^{x-y}=3,\) then the value of x is?
Options:
A) 42
B) \(\cfrac{15}{8}\)
C) \(\cfrac{17}{8}\)
D) 39
Solution:

Knowledge Expert

· commented

· 1 Months ago

Dear student
We have fixed it.

Keep learning
Team TR

All Rights Reserved Top Rankers