Discussions
Select Date
Tags:
Ashish Pandey

· started a discussion

· 1 Months ago

please provide tricky solution

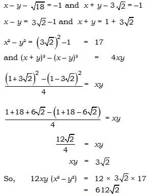
Question:

If  xy18= 1 and x+y32=1, then what is the value of 12xy(x2 –y2) ?  

Options:
A)

0

B)

1

C)

5122    

D)

6122    

Solution:

Ans: (d)


All Rights Reserved Top Rankers