Discussions
Select Date
Tags:
Arul Murugan

· started a discussion

· 1 Months ago

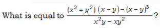
in question it is asked as (x^2+y^2)^2 but in solution it is given as (x^2+y^2)

Question:

.

Options:
A)

1

B)

2

C)

–2

D)

–1

Solution:

Ans: (b)

  

All Rights Reserved Top Rankers