Online Courses
Explore
Offline Courses
-
LAW
-
Judiciary
-
Management UG
-
CAT & OMETs
-
CUET
-
Design
-
Architecture
-
UPSC Law Optional
Explore
Test Series
Explore
Resources
-
LAW UG (5 Year LLB)
-
LAW UG (3 Year LLB)
-
LLM + LAW Officer
-
Judiciary
-
Management UG
-
Management PG
-
Design & Arch.
-
NTA CUET [UG]
-
Career Counselling
-
Current Affairs
-
UPSC LAW
Explore
Join Us
Explore
Contact Us
Explore









Knowledge Expert
· commented
· 1 Months ago
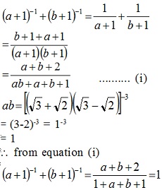
Explaination is
(1)^-3 = 1/(1)^3
1/1 = 1
Keep learning keep solving
Team TR
Sohil Rajput
· commented
· 1 Months ago
Knowledge Expert
· commented
· 1 Months ago
Nihar Ranjan Mohanty
· commented
· 1 Months ago
ASHUTOSH KUMAR
· commented
· 1 Months ago
Divyanshu Kumar Gupta
· commented
· 1 Months ago