Discussions
Select Date
Tags:
nitesh pandey

· started a discussion

· 1 Months ago

pls provide detail solution

Question:
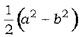
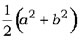
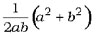
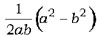
If (a2 – b2) sin \(\theta\) + 2ab cos \(\theta\) = a2 + b2, then the value of tan \(\theta\) is    
Options:
A)
B)
C)
D)
Solution:
Ans: (c)


All Rights Reserved Top Rankers