Discussions
Select Date
Tags:
GYANENDRA SINGH

· started a discussion

· 1 Months ago

are bhai solution dena bhool gaye kya........

Question:
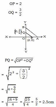
The graph of the linear equation 3x + 4y = 24 is a straight line intersecting x-axis and y-axis at the points A and B respectively. P(2, 0) and Q \(\left ( 0,\cfrac {3}{2} \right )\) are two points on the sides OA and OB respectively of \(\Delta\)OAB, where O is the origin of the co-ordinate system. Given that AB = 10 cm, then PQ = ?
Options:
A) 20 cm 
B) 2.5 cm 
C) 40 cm
D) 5 cm 
Solution:

Ans: (b)


All Rights Reserved Top Rankers