Discussions
Select Date
Tags:
vinita sanghi

· started a discussion

· 1 Months ago

kindly provide solution

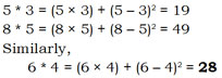
Question:
If 5 * 3 = 19 and 8 * 5 = 49, then 6 * 4 = ?
Options:
A) 24
B) 28
C) 18
D) 16
Solution:
Ans: (b)


All Rights Reserved Top Rankers