Discussions
Select Date
Tags:
RITESH KUMAR

· started a discussion

· 1 Months ago

kindly provide solution

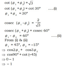
Question:
If cot (\(\theta\)1 + \(\theta\)2) = \(\sqrt{3}\) and cosec (\(\theta\)1 – \(\theta\)2) = \(\cfrac{2}{\sqrt{3}}\), then the value of (cos 2\(\theta\)1 + cot 3\(\theta\)2) is –
Options:
A) 1
B) 2
C) 0
D) -1
Solution:
Ans: (d)


All Rights Reserved Top Rankers