Discussions
Select Date
Tags:
Hukam Lohia

· started a discussion

· 1 Months ago

pls provide solution

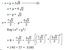
Question:
If x + y = 3\(\sqrt{8}\), x - y = \(\sqrt{2}\), find the value of 8xy (x2 + y2) is - 
Options:
A) 5760
B) 5440
C) 5360
D) 5180
Solution:
Ans: (d)


All Rights Reserved Top Rankers