Discussions
Select Date
Tags:
vikash sangwan

· started a discussion

· 1 Months ago

plz provide complete solution...

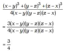
Question:
 \(\cfrac{(x-y)^3{+(y-z)^{3}+(z-x)^{3}}}{4(x-y)(y-z)(z-x)}\ \ \ \ \ \ \ \ \ is \ \ equal \ \ to –\)
Options:
A) \(-\cfrac{3}{4}\)
B) \(\cfrac{3}{4}\)
C) 1
D) 0
Solution:
Ans: (b) 


All Rights Reserved Top Rankers