Discussions
Select Date
Tags:
vikash sangwan

· started a discussion

· 1 Months ago

provide solution...

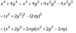
Question:
(x4 + 4y4) is divisible by –
Options:
A)

(x2 + 2xy + 2y2)

B) (x2 + 2y2)
C) (x2 – 2y2)
D) None of these
Solution:
Ans: (a) 


All Rights Reserved Top Rankers