Discussions
Select Date
Tags:
Mohit

· started a discussion

· 1 Months ago

solution has issues

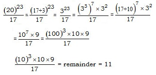
Question:

Find the remainder when 2023 is divided by 17 ?

Options:
A)

16

B)

11

C)

9

D)

7

Solution:

Ans: (b)

All Rights Reserved Top Rankers