Discussions
Select Date
Tags:
bibhor Rusiya

· started a discussion

· 1 Months ago

what is 'a' if radius then in solution step no. 2 should have been different.
the last step of the solution is mathematically wrong and selected option is different

Question:

Find the area of shaded region.

  

Options:
A)

a22π2-1    sq unit

B)

a22π2+1    sq unit

C)

D)

a2π2+1    sq unit

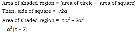
Solution:

Ans: (c)

  

All Rights Reserved Top Rankers