Discussions
Select Date
Tags:
Mahesh

· started a discussion

· 1 Months ago

Solution to kulte hi ni

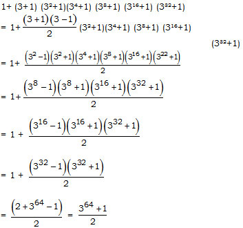
Question:

1+ (3 + 1) (32 +1) (34 +1) (38 +1) (316 +1) (332 +1) is equal to–

Options:
A)

  

B)

  

C)

  

D)

  

Solution:

Ans: (b)


All Rights Reserved Top Rankers