Discussions
Select Date
Tags:
Santlal choudhary

· started a discussion

· 1 Months ago

sir q ka m - ke sathan par + hoga

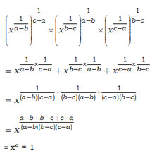
Question:
The value of \(\left ( x^\cfrac{1}{a-b} \right )^\cfrac{1}{c-a}×\left ( x^\cfrac{1}{b-c} \right )^\cfrac{1}{a-b}×\left ( x^\cfrac{1}{c-a} \right )^\cfrac{1}{b-c}\)  is
Options:
A) 0
B) –1
C) 1
D) 2
Solution:
Ans: (c) 1


All Rights Reserved Top Rankers