Discussions
Select Date
Tags:
bibekananda

· started a discussion

· 1 Months ago

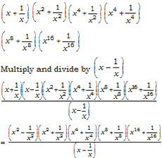
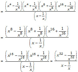
rectify the question

Question:

  

Options:
A)

  

B)

  

C)

  

D)

  

Solution:

Ans: (d)



All Rights Reserved Top Rankers