Discussions
Select Date
Tags:
arti

· started a discussion

· 1 Months ago

Sir
This DI same in 7th paper (all 5 questions)
and sir 2 or 3 question are repeated of quants or reasoning in each paper.
Plz sir Correct your papers.

Question:
DIRECTIONS: Study the following table carefully to answer the question given below?
  The Production of Crops over the year(In millian tonnes)

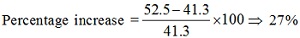
By what percent approximately did the production of wheat increases from the year 1995-96 to 96-97?
Options:
A) 25%
B) 27%
C) 30%
D) 20%
Solution:
Ans: (b)

Knowledge Expert

· commented

· 1 Months ago

Dear student, We will look towards your issue. Keep learning, Team TR

All Rights Reserved Top Rankers