Online Courses
Explore
Offline Courses
-
LAW
-
Judiciary
-
Management UG
-
CAT & OMETs
-
CUET
-
Design
-
Architecture
-
UPSC Law Optional
Explore
Test Series
Explore
Resources
-
LAW UG (5 Year LLB)
-
LAW UG (3 Year LLB)
-
LLM + LAW Officer
-
Judiciary
-
Management UG
-
Management PG
-
Design & Arch.
-
NTA CUET [UG]
-
Career Counselling
-
Current Affairs
-
UPSC LAW
Explore
Join Us
Explore
Contact Us
Explore









Knowledge Expert
· commented
· 1 Months ago
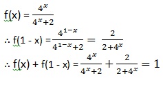
f(x) = (4^x)/(4^x + 2)
to get f(1-x), just put (1-x) in place of x,
f(1-x) = (4^(1-x))/(4^(1-x) + 2) = 2/(2 + 4^x)
Dear student, Currently it is not available but we will look towards your issue. thanks for showing your interest. Keep learning, Team TR