Discussions
Select Date
Tags:
vikash sangwan

· started a discussion

· 1 Months ago

again question is different and solution is different...

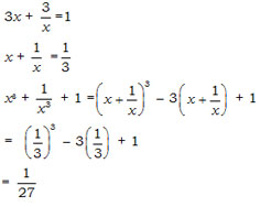
Question:
If 3x + \(\cfrac{3}{x}\) = 1, then x3 + \(\cfrac{3}{x^3}\) + 1 is
Options:
A) 0
B) \(\cfrac{1}{27}\)
C) \(\cfrac{5}{27}\)
D) \(\cfrac{28}{27}\)
Solution:

@@ MR. D

· commented

· 1 Months ago

harami h ye....tere kahne se nhi sudhrengey

All Rights Reserved Top Rankers