Discussions
Select Date
Tags:
Rajat Sharma

· started a discussion

· 1 Months ago

Good Question !

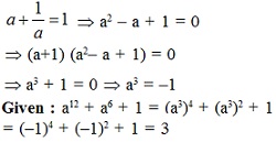
Question:

If a + \(\cfrac{1}{a}\)  = 1, then what will be the value of a12 + a6 + 1?

Options:
A) 0
B)
C) -1 
D) 3
Solution:
Ans: (d)

All Rights Reserved Top Rankers