Discussions
Select Date
Tags:
Preetam Singh

· started a discussion

· 1 Months ago

dear knowledge expert try to make question paper up to the ssc level

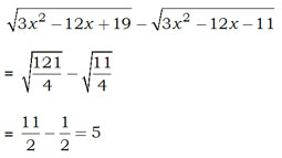
Question:
If 

then

Options:
A) 5
B) 3
C) 10
D) 4
Solution:
Ans: (a)



All Rights Reserved Top Rankers