Discussions
Select Date
Tags:
learning hub

· started a discussion

· 1 Months ago

sir plz clear my doubt of the question

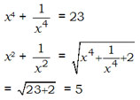
Question:
If x4 +  \(\cfrac{1}{x^4}\) = 23, then find the value of \(\left (x - \cfrac {1}{x} \right )^2\) . 
Options:
A) -3
B) 3
C) 7
D) -7
Solution:
Ans: (b) 


\(\left (x- \cfrac {1}{x} \right ) \ = x^2 + \cfrac{1}{x^2} - 2\)

= 5 – 2 = 3

All Rights Reserved Top Rankers