Discussions
Select Date
Tags:
Siddhartha Nagar

· started a discussion

· 1 Months ago

In denominator 2yz is given instead of 2xy

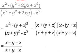
Question:
\(\cfrac{x^2-y^2-2yz-z^2}{(x^2+y^2+2xy)-z^2} \ \ \ \ = ?\)
Options:
A) \(\cfrac{x+y+z}{x-y+z}\)
B) \(\cfrac{x-y-z}{x-y+z}\)
C) \(\cfrac{x-y-z}{x+y-z}\)
D) \(\cfrac{x-y+z}{x+y+z}\)
Solution:
Given exp. = 

Knowledge Expert

· commented

· 1 Months ago

We fixed it.........

All Rights Reserved Top Rankers