Discussions
Select Date
Tags:
Mohan Das Gandhi R

· started a discussion

· 1 Months ago

believe answer is wrong. please provide detailed explanation

Question:
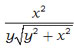
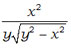
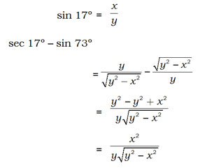
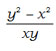
If sin 17º = \(\cfrac{x}{y}\) , then fixed the value of (sec 17° – sin 73°). 
Options:
A)
B)
C)
D)
Solution:

Ans: (d)

Knowledge Expert

· commented

· 1 Months ago

Hi, option(d) is the correct answer.........we resolved it.....

All Rights Reserved Top Rankers