Discussions
Select Date
Tags:
Mohit joshi

· started a discussion

· 1 Months ago

cross check yours slun

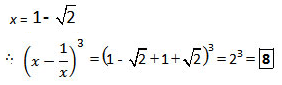
Question:

  

Options:
A)

–8

B)

8

C)

22    

D)

1

Solution:

Ans: (b)


Knowledge Expert

· commented

· 1 Months ago

Dear student
We resolved it

Best wishes
Team TR

All Rights Reserved Top Rankers